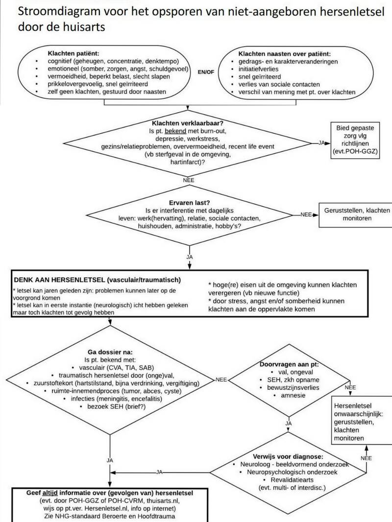
Stroomdiagram Huisartsen
Klik om te vergroten:
Juni 2018
 
                    In deze video legt neuroloog prof. dr. Joukje van der Naalt uit welke factoren van invloed zijn op het herstel na traumatisch hersenletsel, welke nieuwe mogelijkheden er zijn om hersenschade te detecteren en wat u kunt doen als patiënten met traumatisch hersenletsel zich melden in uw praktijk.
Leg de link met hersenletsel!
Leg de link met hersenletsel! Oude en vergeten hoofdongelukken en ongelukjes, stuipen en wegrakingen, infecties, zwangerschappen, werken met gif en oplosmiddelen, drugs en alcohol, bloedvergiftiging etc. kunnen de oorzaak zijn van hersenletsel en kunnen een diagnose bemoeilijken. Hersenletsel-uitleg.nl steunt daarom de campagne van legdelink.nl/
Doe de check! Komt daar wat uit? Vraag een neuropsychologisch onderzoek!
 
                     
                     
                                         
                    